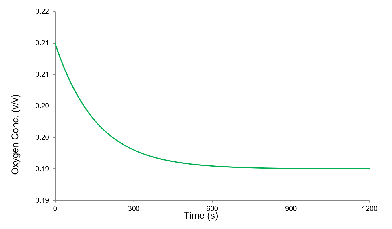
Oxygen depletion in a fixed volume due to inert gas leak
NOTE
Also see an extension of this work which incorporates a recycle stream.
In a system where nitrogen leakage into a room results in oxygen depletion, the following may be used to determine the leakage rate resulting in a specified oxygen concentration at equilibrium.

Assumptions
- Assumes instantaneous perfect mixing. Whilst concentration will average out to some degree in large spaces, this method does not account for local oxygen depletion. This will be significant at the point of release.
- All flowrates given in
at atmospheric pressure. - Air into the system via HVAC unit is a constant volumetric flow and taken as 21 vol% oxygen.
Derivation

At equilibrium, oxygen in = oxygen out.
Since
Substitute